The Michelson-Morley Experiment
Light, you are the strangest thing I have ever “seen.”
History has moments defining the future for decades or even centuries. The collectiveness of many people triggers a countdown for the upcoming revolution of the world. Last was between the second and first half of the 19th and 20th centuries, at least in science. It might seem like our civilization has made progress since then, but I would not call it a day. Modern findings appear to me as honing a known without reaching for the unknown.
But it has to be that way because science is a teamplay game, played all together with all generations.
I do not deprive present days either of being exciting or thrilling. All I am saying is that the wow effect accompanies moments of arising uniqueness. And I would love to experience it.
To give an example, I would love to see the moment at which Ernest Lawrence started the very first cyclotron as thrills and chills had to reach beyond this planet. What will happen? Can we safely do this?
It might look like not a big deal; but, when the Large Hadron Collider was about to be run for the first time in 2008, there was a dispute, based on theoretical considerations, that a collision of so high-energetic protons might produce a black hole that will swallow the Earth — overthrown by Stephen Hawking’s work on the evaporation of black holes.
So even being unaware of a danger does not mean that it does not hide in plain view. And this is exciting.
With the Michelson-Morley experiment, the threat was not at any high, but the importance to determine the absolute speed of aether so was.
Setting the Stage
Principle of Relativity (Galileo Galilei-> Isaac Newton-> (Albert Einstein, Hendrik Lorentz, Henri Poincaré)->)
Yes, the principle has originated in Galileo’s mind before in anybody’s else. But he was the geometry guy, so Newton was who gave them shape. For decades it was thought to be correct, but upon the derivation of Maxwell’s equation and following them experiments, this correctness falt apart once an error has been found and has opened the door for Einstein’s “special theory of relativity,” which concatenates Einstein, Lorentz, and Poincaré’s thoughts on the subject. And I feel like it has not been the final dot yet. Likely, there is more to come, but hold on and start from the beginning, that is, from Galileo Galilei’s thought.
Galileo was a Copernican heliocentrism adherent and Aristotle contradictor, who knew that Earth is not the navel of the Universe. In his book, “Dialogue Concerning the Two Chiefs World Systems,” he argued:
“I should think that anyone who considered it more reasonable for the whole universe to move to let the earth remain Fixed would be more irrational than one who should climb to the top of your cupola just to get a view of the city and its environs, and then demand that the whole countryside should revolve around him so that he would not have to take the trouble to turn his head.”
— Galileo Galilei
It would be hard to remain intact by the depth of that quote, by the irrationality of beliefs people then had. Yet, when he faced this untruth, “what are you talking about; you are a psycho” was all his ears have heard, at best. Galileo’s life was not a bed of roses but rather full of their thorns. It is not an easy task to be the only one who knows, to be against the whole world. But Galileo was defending himself with the power of his mind that will stand the test of time.
People have said to him, “if that is as you say, Mr. Galileo, if the Earth, not all celestial bodies, is in motion and revolves around itself, then any object thrown to the sky would hit the ground away from me because I would have moved with the rotation of the Earth away from it! Mr. Galileo, it does not make any sense!”
To overcome this difficulty, Galileo proposed the famous ship experiment, in which different kinds of loads like chests and butterflies — material and living things — are under the boat deck, and whose velocity of sailing can never change. As the ship steady the speed, observators study how the loads behave under the boat deck. Are the butterflies experiencing difficulty in flying, or the chests rolling all around the floor? Do objects takes unpredictable, weird trajectories? Or maybe everything behaves the way as the ship would be steading still?
And the answer is yes, the ship is free of strangely behaving objects.
Reality determines that nothing strange happens under the boat deck. That has lead Galileo to the principle of relativity, no distinguishability of physics in uniformly moving or standing still systems- Galileo Galilei’s masterpiece.
Later has come Newton’s times in which he described the stage on which the Universe plays its drama as being a uniform, immutable in space and in time rate thing — Euclidean space. In other words, that the spectacle looks identical regardless of where: absolute space and time.
Apart from it, Newton was also the force guy who built an algebraic framework of motion within the three laws. They state that for an object’s motion to be changed, a force must be applied (second law.) Whereby, without any, the object’s motion keeps its state of either no or a uniform velocity (first law.) And the third that every action causes a reaction of equal magnitude and the opposite sign.
A sharp eye can see that the first law of motion describes the one to the principle of relativity — just by forces. Combined with Newton’s imagination about the Universe suggests that undeterminable is to tell whether you are in motion or not without sticking your head out. All you can say and measure are relative motions among objects enclosed in the system. What is funnier, once you stick your head out, your domain does not change. Everything is still relatives, only to another (outside) system.
Galilean-Newtonian Transformation
A transformation for any two reference frames links their coordinates. Galilean-Newtonian one is applicable and reserved for those that obey the principle of relativity.
A revision of Galileo’s ship experiment might help to understand and let this idea sink into the brain. For that, imagine two observers being assigned to two different reference frames: one to the boat neck (S’) and the other to the seaport (S.) Recalling that both systems coincide initially with each other (the ship is at the port,) and that time starts once sail out.
As time goes by, the boat sails away with relative velocity, v, meaning the distance between the reference frames is vt.

The transformation of the reference frames is then given by:

And, this is the Galilean-Newtonian transformation. Which purpose is to understand that physics is invariant whether you are moving uniformly or standing still. No mechanical experiment can tell you to which reference frame you are assigned. At the seaport and under the boat deck, a barrel of wine rolls alike. Indeed, applying newton’s 2nd law gives back:

Thus, seamen have no other way of determining whether the ship moves uniformly or stands still than to look outside.
Maxwell’s Equations (James Clerk Maxwell, Michael Faraday, Carl Friedrich Gauss, André-Marie Ampère)
What I do not like in science (although I am aware of it has to be that way) is this flatness in crediting for discoveries. Maxwell’s equations undoubtedly are written in their final form by him, but he did not take them out of the blue, inspired by a dream. No. The works of everybody in the bracket has culminated in the development of Maxwell’s equations. If I were to credit Maxwell for explicit discovery, I would say radiation — a genius idea of a genius mind, which is meaningful to this story to talk about it for a little time.
But, before that.
Maxwell’s equations encapsulate laws governing electricity and magnetism in one unified system of 4 equations.

The 1st & 3d.
Are known as Gauss’s laws for electricity and magnetism, respectively. The former defines that the total electric flux poking through a closed surface depends explicitly on a charge enclosed inside. It holds as long as the symmetry of the charge distribution is conserved. A good analogy is a reservoir from which water spills out, say on a table. No matter what artificial, closed boundaries you can come up with, the amount of water that passes is one for all. Namely, all water passes by — if symmetry holds, meaning it is as water would be spilling out from a single point source.

What the latter says is that, regardless of boundaries, magnetic flux is 0
since magnets come as dipoles — the equivalent of water flowing in and out in equal size.
The 2nd.
Identified as Faraday’s law, or the law of induction, like all other equations, it has been derived upon observations. It asserts that varying magnetic flux induces an electromotive force into a wire and that the current produced by this force creates a magnetic field that opposes a change of the magnetic flux that has generated it.

One or more of the magnetic flux dependencies must be varying relative to a wire to induce an electromotive force within it: magnetic field strength, area, or an angle between them.
You can construct a simple electric circuit with a tiny bulb plugged-in and move a magnet in-and-out to see a sinusoidal change in the brightness, or you can fix its position and instead rotate the circuit around any own axis of rotation.

The electric energy that runs the economy today works on this rule. From fossil-fuel to nuclear power stations, generated energy produces heat that steams water, which drives a turbine connected to an electric generator.
The 4th.
Ampere’s law, being somehow a reverse of Faraday’s law as it tells in an opposite how to create a magnetic field from an electric field. Without the displacement current derived alone by Maxwell to solve an issue, it states that the presence of an electric current generates a circular magnetic field.

What was the issue?
There was a problem with identifying the magnetic field between charging capacitor plates because neither electron can pass the separation without a discharge. But no electric current means no magnetic field what has no sense as staying in contradiction with experiments.

Ampere’s law for the above loop without the term:

It was the problem they were all aware of, yet it was Maxwell who has found a way out of the impasse.
He argued since a varying magnetic flux induces an electric field into a wire, it might be that an electric one does the same with a magnetic field. He gave it “the displacement current” name. But let’s leave alone a nomenclature when the following implication of this thought is pure gold, namely radiation, which passes between the plates.
After this addition, Maxwell’s equations harmonize together, presenting their real face described by a wave equation derivable from them. As there are two sides, magnetic and electric, it cannot surprise that this wave is a combination of both. Which so happen, describes light and exposures its speed to be source motion independent like for sound. Very much alike, you would not hear a word told by your friend when facing each other on the roof of a jet flying at supersonic speed with you being closer to the edge denoted by the direction of the flight; you would not see a thing on the roof of FTL jet — if absolute space and time stated by Newton is correct.
It seems self-obvious that after introducing a completely new law, one wants to find out what is under the hood, for example, if Galilean-Newtonian transformation applies without contradiction.
And Maxwell’s equations are not down there, which means they do not transform to the same form, obeying the principle of relativity. At least in Galilean-Newtonian sense, to tell, which has concerned only mechanical phenomena before. Who knows, maybe for light and radiation generally, this principle does not hold — unquestionably, the transformation of equations manifests it — but perhaps something is wrong?
Conducting the Experiment
Light is an electromagnetic phenomenon describable to either waves or particles: wave-particle duality. But Maxwell’s equations explain radiation as pure waves, as so, it is apparent to ask what medium they propagate through. And it was thought to be the aether, an old concept that dates back to Ancient Greece times, where and when Plato referred to it as a translucent “air kind” for light; later reshaped by Newton, Bernoulli, and others in light of brand-new discoveries. But the main thought has never changed, aether is what light propagates in.
So aether permeates entire, absolute space and time; and is the medium through which light propagates; additionally, Maxwell’s equations do not obey the principle of relativity under Galilean-Newtonian transformation and set light speed as source motion independent. Putting two and two together suggests that an experiment involving Earth’s motion through the hypothetical aether should reveal the absolutes. It should be at least equal to the Earth’s orbital speed. In other words, it should be possible to look outside “the ship” without actually doing it.
The Michelson-Morley experiment was one among many to test it out.
Consider a configuration,

in which the source emits light that the beam splitter parts into two beams. From that, continuing their ways to two mirrors to which distance apart is L. They reflect from the mirrors and converge in the detector that compares their phases. If the light beams need the same time, they constructively interfere at the end. However, if they are even slightly off, the occurring interference is destructive (it should be.)
The Perpendicular Part

It is worth rewriting the right-side of the equation to get an instant look at what it represents. So, divide the numerator and denominator by c.

Now, the numerator indicates the time needed if the apparatus is at rest.
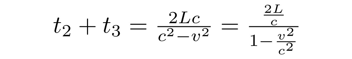
The Parallel Part
The beam on its way to the 2nd mirror:

And back from it:

Summing and diving the right-side by c²:

With the same meaning of the numerator as for the perpendicular part.
The Results
It is self-evident that the two times are different, and with the speed of light as the upper limit, any other circumstances than the apparatus at rest will result in less time for perpendicular motion than for the parallel one.
However, the detector did not note any difference in phases; the outcome was negative. Physics was in a tight corner. If the result of this and other experiments at that time thwarted finding the velocity of Earth through the aether, and light was after all obeying the principle of relativity, it meant that imagining space as being built of the absolute space and time was naive and full of wishful thinking. The Galilean-Newtonian transformation was thought to be correct but appeared to be only an approximation for something much more fundamental.
Hence, it became clear that light is relative, and a new transformation must take up space from the old in a way that will ensure that. And to that, Newton’s equations of motion have to be adapted to stay relative as well.
Hendrik Lorentz’s transformation proposing the foreshortening along the direction of motion defeated difficulties, all contradictions, and stayed with an agreement to experiments, bringing back harmony to Physics.
Not too hard to derive them, but it is another story to be told.